High Quality 99% Pterostilbene Factory Supply
What is Pterostilbene?
Pterostilbene is a natural stilbene compound mainly found in plants such as sandalwood, blueberries, and grapes. Chemically, pterostilbene is a methylated derivative of resveratrol, thus exhibiting higher bioavailability and stability.
Pterostilbene has garnered widespread attention for its significant antioxidant, anti-inflammatory, anti-tumor, and neuroprotective activities, demonstrating potential applications in areas such as assisting in the regulation of blood sugar and lipids, maintaining cardiovascular health, delaying cognitive decline, and skincare. Currently, pterostilbene can be stably obtained industrially. YTBIO provides 99% pure pterostilbene, offering high-quality raw materials to support the development of your related health products.
COA OF PTEROSTILBENE :

Multiple Benefits of Pterostilbene
Strong Antioxidant Capacity
Pterostilbene is considered one of the most potent antioxidants available. It can directly scavenge free radicals and effectively activate the body's own Nrf2 defense pathway, increasing the levels of various endogenous antioxidant enzymes such as superoxide dismutase (SOD) and glutathione peroxidase to combat oxidative damage.
Anti-inflammatory effects
Pterostilbene, by inhibiting key inflammatory pathways such as NF-κB, can downregulate the expression of pro-inflammatory factors such as COX-2 and iNOS, reducing the production of inflammatory mediators, thereby helping to alleviate various health problems caused by chronic inflammation.
Skincare benefits
Pterostilbene can effectively inhibit tyrosinase activity, reduce melanin production, and achieve skin whitening and fading of dark spots. Its powerful antioxidant and anti-inflammatory properties help reduce UV damage, delay skin aging, promote collagen synthesis, and improve skin elasticity.
Other health benefits
Studies have shown that pterostilbene has protective effects on the cardiovascular, metabolic, and nervous systems. It helps regulate blood sugar and lipids, improves vascular function, protects nerve cells, and shows potential in the auxiliary management of non-alcoholic fatty liver disease and the improvement of heart failure.
What are the main applications of pterostilbene?
Skincare & Cosmetics
Pterostilbene, with its superior lipophilicity and skin permeability, has become a popular and highly effective skincare ingredient. It effectively delays photoaging and reduces wrinkles by activating the antioxidant defense system and powerfully scavenging free radicals; simultaneously, it significantly inhibits tyrosinase activity, suppressing melanin production at its source for whitening and fading dark spots; its anti-inflammatory and soothing properties also make it suitable for repairing sensitive skin and strengthening the skin barrier.
Health and Dietary Supplements
In the health field, pterostilbene is widely used in health supplements. It helps regulate blood lipid and blood sugar metabolism, supporting cardiovascular health; its neuroprotective potential may help improve cognitive function; and research shows its positive value in assisting liver protection, improving metabolic syndrome, and alleviating menopausal discomfort.
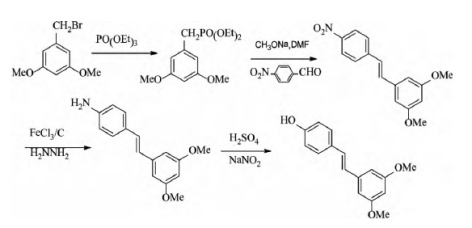
Synthetic Method:
The target compound was synthesized from 3,5-dimethoxybenzyl bromide and p-nitrobenzaldehyde via a Witting-Hornor reaction, reduction, diazotization, and hydrolysis, yielding a natural multifunctional antioxidant, pterostilbene, in an overall yield of 53.9%. The structure of the target compound was characterized by IR, 1H NMR, and EI-MS. This synthetic process is simple, convenient, and has low production costs, showing promising application prospects.

Although pterostilbene is present in extremely low concentrations in natural plants and is difficult to extract, modern synthetic technology has enabled a stable supply of high-purity pterostilbene. YTBIO provides the market with 99% pure pterostilbene raw materials to help you develop healthy and high-quality products.












