85% 90% Deacetylated Chitosan Powder
What is chitosan?
Chitosan is the second most abundant biopolymer in nature after cellulose. It is widely distributed, primarily in the shells of many lower animals, especially arthropods such as shrimp, crabs, and insects. It is also present in the cell walls of lower plants such as fungi, algae, and fungi.

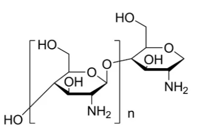
Chitosan can be produced by deacetylation of chitin. Chitin is treated at 100°C with 40% sodium hydroxide to produce a deacetylation reaction, resulting in chitosan. Chitosan is a white or off-white, translucent, flaky solid that is insoluble in water and alkali, but soluble in most dilute acids, including formic, acetic, and hydrochloric acid. The molecular structure of chitosan is similar to that of cellulose, differing only in the presence of an amino group (—NH2) attached at the C2 position. This group has an affinity for paper fibers, developing ionic bonds and strong hydrogen bonds. Chitosan also has excellent film-forming properties, which improves the surface strength of paper, making it a popular reinforcement for specialty papers. Chitosan is a powdered substance that is tasteless and odorless, with a slightly pungent taste in its aqueous solution.
Chitosan oligosaccharides have been shown to enhance immunity, activate cells, lower blood lipids and blood pressure, combat aging, and regulate the body's environment. They are used in medicine, healthcare, and food.
Properties and Morphology
Chitosan's physicochemical properties include:
Biocompatibility: Non-toxic and biodegradable, suitable for biomedical applications.
Bacteriostatic: Antibacterial against Escherichia coli and Staphylococcus aureus, with low-molecular-weight chitosan exhibiting greater antibacterial activity.
Adsorption: Chelating heavy metal ions (such as cadmium and lead) or adsorbing organic dyes through amino and hydroxyl groups.
Morphological diversity: They can be made into fibers, membranes, gels, nanoparticles, and other forms, each of which affects its function. For example, nanowhiskers (CWs) enhance mechanical strength in composite materials due to their high specific surface area and surface charge.

Rich Functions and Applications of Chitosan
1. Cosmetics
Chitosan for cosmetics offers excellent moisture absorption, moisturizing, conditioning, and antibacterial properties. It is suitable for moisturizers, shower gels, facial cleansers, mousses, high-end creams, lotions, and colloid cosmetics, effectively overcoming the shortcomings of standard chitosan.
2. Flocculants
Chitosan and its derivatives possess excellent flocculation and clarification properties. As clarifiers in beverages, they can rapidly flocculate and naturally precipitate suspended solids, increasing the yield of the original solution. In traditional Chinese medicine extracts, large proteins, tannins, and pectins can be easily removed with chitosan solutions, resulting in highly purified active ingredients. Chitosan's adsorption properties are also highly effective in water purification.
3. Agriculture, Feed, and Bait
Chitosan is a natural plant growth promoter and raw material for foliar fertilizers. Foliar fertilizers formulated with chitosan not only kill insects and fight diseases, acting as a fertilizer, but also break down plant and animal debris and trace metals in the soil, converting them into plant nutrients, enhancing plant immunity and promoting plant health. Shrimp and crab shells are rich in protein and trace elements, and when ingested by animals, they offer excellent nutritional value.
4. UTA (Adsorbent)
UTA special chitosan is a chitosan product that has undergone a special processing technique. It effectively absorbs protein, achieving an adsorption capacity 40% higher than standard chitosan.
5. Tobacco (Tobacco Glue)
This product can be evenly mixed with cut tobacco and adheres to its surface, enhancing its tensile strength, water resistance, and tear resistance. It resists breakage during processing and is suitable for modern high-speed cigarette-making machines. This tobacco additive significantly enhances the burning properties of cigarettes, reduces tar and nicotine content, reduces tobacco odors, reduces harmful substances in the smoke, improves the flavor, and enhances the aroma. It also effectively inhibits tobacco mold and prolongs its shelf life.

6. Food Industry
Antibacterial Agents
Chitosan and its derivatives have excellent antibacterial activity, inhibiting the growth and reproduction of some fungi, bacteria, and viruses. Chitosan offers enhanced antibacterial properties, requires minimal dosage, offers a good taste, and has no toxic side effects, making it an ideal preservative for condiments.
Fruit and Vegetable Preservatives
The primary purpose of fruit and vegetable preservation is to preserve the quality, taste, nutritional content, and appearance of fruits and vegetables from harvest until their shelf life, thereby enhancing their commercial value. Chitosan coatings for preservation are permeable and water-repellent, increasing the resistance of various gas molecules to penetration, creating a micro-atmosphere environment. This increases carbon dioxide levels and decreases oxygen levels within fruit and vegetable tissues, inhibiting respiratory metabolism and water loss, slowing tissue and structural aging, and effectively extending the post-harvest life of fruits and vegetables.
Antioxidant
Meat products contain high levels of unsaturated lipids, which are easily oxidized and cause spoilage, shortening their shelf life and impairing their flavor.
Health Food Additive
Chitosans are difficult to digest and absorb in the human gastrointestinal tract. Once ingested, they form complexes with lipid compounds such as triglycerides, fatty acids, bile acids, and cholesterol, which are many times their own weight. These complexes are resistant to hydrolysis by gastric acid and absorption by the digestive system, hindering the absorption of these substances, causing them to pass through the intestines and be excreted. Therefore, chitosans can reduce lipids and calories in food, making them useful as health food additives. It not only has a refreshing sweetness and can regulate blood pressure, eliminate fatty liver, lower cholesterol, and enhance immunity, but it also improves water retention and regulates moisture in foods, making it a useful health food additive for diabetes and obesity.
Juice Clarifier
Juice contains large amounts of negatively charged substances such as pectin, cellulose, tannins, and pentosans, which can cause turbidity during storage. When chitosan's positive charge adsorbs and flocculates these negatively charged substances, the resulting clarified juice forms a thermodynamically stable system, allowing it to be stored for long periods without becoming turbid. Research has shown that chitosan is also an effective purifier for grapefruit juice, with significant clarification effects regardless of whether the juice has been treated with pectinase.
7. Medical Applications
Promoting Blood Coagulation and Wound Healing
Chitosan promotes blood coagulation and can be used as a hemostatic agent. It can also be used as a wound filler, sterilizing, promoting wound healing, absorbing wound exudate, and preventing syneresis.
Sustained-Release Drug Matrix
Chitosan can be degraded by lysozymes in the body to produce natural metabolites. These are non-toxic and fully absorbed by the body, making it a significant advantage as a sustained-release drug agent. Chitosan-based sustained-release drugs are already commercially available in Japan.
Artificial Tissue
Chitosan-calcium phosphate complexes can be used as bone substitutes for bone repairs and dental fillings. Composites of chitosan derivatives and polyesters can be used as artificial blood vessels. Abewidra has introduced a new material for treating burns, ulcers, and skin infections—"artificial skin." This material, which mimics the properties of natural skin, protects wounds from bacterial infection while allowing air and moisture to permeate, promoting wound healing. A mixture of chitosan and chitin can be made into high-strength filamentous fibers for use as surgical sutures. These sutures are degraded by lysozymes in the body and are fully absorbed by the body after wound healing without needing to be removed, without causing allergic reactions.
Immunomodulatory Activity
Chitosan activates and mediates a series of biological effects in the body, enhancing the systemic function of phagocytes. Macrophages have receptors for bacterial polysaccharides on their surface. Chitosan, as a bacterial polysaccharide analog, can stimulate macrophage activation, resulting in the following reactions: promoting phagocytic function and enhancing its synergistic effects in other immune responses. This, in turn, regulates T cells, NK cells, and B cells, mediating both cellular and humoral immune responses. Therefore, chitosan has immunomodulatory effects.
8. Other Uses
Chitosan gel can be used as a carrier for dental antibiotics, exhibiting hemostatic, anti-inflammatory, and wound-healing properties. It can also lower serum and liver cholesterol levels and is used in cholesterol-lowering agents. Chitosan can strengthen liver function, preventing liver hangovers caused by excessive alcohol consumption, and has the ability to adsorb and excrete residual heavy metals, toxins, pesticides, and chemical pigments in the body. When taken by cancer patients, chitosan can activate immune-related lymphocytes, enabling them to distinguish between normal and cancerous cells and kill them. Chitosan can regulate the body's pH to a weakly alkaline state, improving insulin utilization and helping prevent and treat diabetes. It also regulates the endocrine system, normalizing insulin secretion, inhibiting blood sugar levels, and lowering blood lipids.
Chitosan has a chelating and adsorbing effect on many substances. The amino groups and adjacent hydroxyl groups in its molecules form stable chelates with many metal ions (such as Hg2+, Ni2+, Cu2+, Pb2+, Ca2+, and Ag+). These chelates are used for treating heavy metal wastewater, purifying tap water, and separating metal ions in hydrometallurgy. Furthermore, chitosan can adsorb dyes, proteins, amino acids, nucleic acids, enzymes, and halogens through complexation and ion exchange, making it useful in treating dye wastewater, printing and dyeing wastewater, and food industry wastewater, thereby purifying the environment and protecting human health.













