220W Dalton Sodium Hyaluronate Powder CAS 9067-32-7
Do you know sodium hyaluronate?
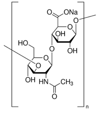
Sodium hyaluronate is the sodium salt form of hyaluronic acid. It is a natural polysaccharide widely found in human connective tissue, skin, eyes, and joint fluid.
Physically, it has excellent optical transparency, remaining clear and transparent in solution. It also exhibits typical non-Newtonian fluid properties, meaning its viscosity changes with shear rate. Chemically, its hydroxyl and carboxyl functional groups make it chemically reactive.

Sodium hyaluronate also possesses excellent moisturizing, anti-aging, repairing, and lubricating properties, making it widely used in beauty, medicine, and healthcare.
Sodium hyaluronate's molecular structure consists of alternating glucuronic acid and N-acetylglucosamine, resulting in a strong water-absorbing capacity. Each molecule can absorb hundreds of times its own weight in water, significantly enhancing skin hydration and elasticity. In beauty and skincare, sodium hyaluronate is commonly used in moisturizing products such as creams, serums, and masks to alleviate dryness, tightness, and fine lines, keeping skin smooth and hydrated. Furthermore, sodium hyaluronate is widely used in joint treatments (such as arthritis injections), ophthalmology (such as artificial tears), and wound repair, helping to relieve joint pain, accelerate wound healing, and alleviate dry eyes. Due to its high safety and natural nature, sodium hyaluronate has become an indispensable ingredient in modern medicine and skincare products.
Common sodium hyaluronates include:
Oligomeric sodium hyaluronate (molecular weight less than 10,000 Da);
Small molecule sodium hyaluronate (molecular weight 10,000–1,000,000 Da);
Medium molecule sodium hyaluronate (molecular weight 1,000–1,800,000 Da);
Large molecule sodium hyaluronate (molecular weight >1,800,000 Da)

Functions and Effects of Sodium Hyaluronate
Tissue Lubrication and Protection
Sodium hyaluronate functions as a tissue lubricant and is crucial for regulating interactions between adjacent tissues. Its aqueous solution exhibits viscoelastic properties, and its high viscosity provides mechanical protection for ocular tissues (such as the iris and retina) and cell layers (such as the cornea and epithelium). Its elasticity helps distribute and absorb mechanical stress, providing tissue cushioning.
Promoting Wound Healing
During the wound healing process, it acts as a protective carrier, transporting peptide growth factors and other structural proteins to the required sites. Subsequently, enzymatic degradation releases the active proteins, promoting tissue repair.
Improving Drug Efficacy
Sodium hyaluronate (HA) is a core component of connective tissues such as the intercellular matrix, vitreous humor, and synovial fluid. It retains water, maintains the extracellular space, regulates osmotic pressure, lubricates, and promotes cell repair. As a carrier for ophthalmic medications, it can increase the viscosity of eye drops, prolonging drug residence time on the ocular surface, thereby improving drug bioavailability and reducing eye irritation.
Auxiliary Therapeutic Effects
Joint Lubrication: It can be injected directly into the joint cavity as a lubricant for the treatment of arthritis.
Excellent Moisturization: Moisturizing the skin is one of its most important physiological functions. Adequate moisture keeps the skin smooth and delicate. Its unique hygroscopic properties: high moisture absorption in low humidity environments and low moisture absorption in high humidity environments, perfectly adapting to the skin's moisturizing needs in different seasons and environments. It also has a refreshing, non-greasy texture and will not clog pores.
Anti-Wrinkle Properties
Skin moisture levels are closely related to the hyaluronic acid content. With aging, the amount of hyaluronic acid in the skin decreases, leading to decreased water retention and the development of wrinkles. Sodium hyaluronate aqueous solution has excellent viscoelasticity and lubricity. Upon application, it forms a moisturizing and breathable film, leaving the skin hydrated and radiant. Small molecule hyaluronic acid penetrates the dermis, promoting blood microcirculation and helping the skin absorb nutrients, thereby exerting its beauty and anti-wrinkle health benefits.
As a high-molecular-weight polymer, it has a noticeable lubricating feel and pleasant texture upon application. Large molecules form a breathable protective film on the skin's surface, leaving it smooth and moisturized while shielding it from bacteria, dust, and other intruders. Small molecules penetrate the dermis, slightly dilating capillaries and increasing blood circulation, improving metabolism, and facilitating nutrient absorption, leaving the skin smoother and plumper.
Sunscreen and Skin Damage Repair
It scavenges reactive oxygen free radicals generated by UV radiation on the skin's surface, protecting it from damage. It also accelerates skin regeneration in damaged areas by promoting the proliferation and differentiation of epidermal cells.
Moisturizing Effect
Sodium hyaluronate is highly hygroscopic in low humidity environments and weakly hygroscopic in high humidity. This property allows it to adapt to the moisturizing requirements of cosmetics in different seasons (such as dry winters and humid summers) and ambient humidity levels. Its moisturizing effect is directly proportional to its quality; higher quality means better performance. It is rarely used alone as a moisturizer and is often combined with other moisturizing ingredients.

Nutritional Effect
Sodium hyaluronate is an intrinsic biological substance in the skin; exogenous supplementation enhances endogenous hyaluronate. Low-molecular-weight sodium hyaluronate penetrates the epidermis, promoting nutrient supply and waste removal, thereby preventing skin aging and enhancing skin beauty.
Repair and Prevention
Photoburns (such as reddening, darkening, and peeling) caused by sun exposure are primarily caused by ultraviolet rays. Sodium hyaluronate accelerates the regeneration of damaged skin by promoting epidermal cell proliferation and differentiation and scavenging oxygen free radicals. Preemptive application also has a preventative effect. Its mechanism of action differs from conventional UV absorbers, so its combination with sunscreen products creates a synergistic effect, reducing UV transmission while repairing existing damage, providing dual protection.
Combining it with EGF (epidermal growth factor) and heparin can accelerate epidermal cell regeneration, leaving the skin smooth and elastic. For minor burns, applying products containing sodium hyaluronate can alleviate pain and accelerate wound healing.
Lubricity and Film-Forming Properties
As a high-molecular-weight polymer, sodium hyaluronate exhibits remarkable lubricity and film-forming properties. Skincare products containing this ingredient feel smooth upon application and form a thin film on the skin, imparting a smooth and moisturized feel while also providing protection. When used in haircare products, it forms a moisturizing film on the hair surface, providing moisture, lubrication, conditioning, and static elimination, making hair easier to comb and flowing naturally.
Thickening Properties
Sodium hyaluronate has extremely high viscosity in aqueous solution; a 1% aqueous solution forms a gel. When added to cosmetics, it thickens and stabilizes the system.
Pharmacological Actions
Sodium hyaluronate is a physiologically active substance widely found in animals and humans, distributed in the skin, synovial fluid, umbilical cord, aqueous humor, and vitreous humor. Its large molecular weight (500,000-730,000 Daltons) gives it high viscoelasticity and conformability in solution. As an adjunct to ophthalmic surgery, injection into the anterior chamber maintains adequate surgical space, facilitating manipulation, protecting the corneal endothelium and intraocular tissues, reducing surgical complications, and promoting wound healing.
Applications of Sodium Hyaluronate
Cosmetics and Skincare
Sodium hyaluronate can absorb far more water than its own weight, forming a breathable moisturizing film on the skin's surface. This effectively locks in moisture and reduces loss, providing long-lasting, deep hydration and leaving skin hydrated and smooth. It is widely used in skincare products such as lotions, creams, serums, and masks, and is a core ingredient in moisturizing products. Sodium hyaluronate of varying molecular weights has distinct benefits. Small molecules can penetrate the dermis, promoting internal water circulation and boosting skin hydration from the inside out.
This ingredient also promotes skin cell proliferation and differentiation, accelerating the repair of damaged tissue, strengthening the skin's barrier function, and enhancing the skin's defenses against external irritants such as UV rays and pollution. It is commonly used in soothing and repairing creams and sensitive skin products to relieve redness, itching, and stinging, improve sensitivity, and enhance skin health and stability.
With aging, the amount of hyaluronic acid in the skin decreases, reducing its water retention capacity and making it more susceptible to wrinkles. Sodium hyaluronate increases water content and enhances elasticity, creating a viscoelastic moisturizing film that helps maintain skin's hydration and translucency, reducing the appearance of wrinkles. Small-molecule hyaluronic acid penetrates further into the dermis, promoting microcirculation and nutrient absorption, and enhancing its anti-wrinkle effects. Therefore, it is commonly used in anti-aging serums, anti-wrinkle creams, and eye masks. Long-term use can help reduce fine lines, enhance firmness, and promote a more youthful appearance.
Medical Field
Dry Eye Treatment
Sodium hyaluronate eye drops replenish moisture on the ocular surface, forming a moisturizing gel film, enhancing tear film stability, and alleviating dryness and foreign body sensation. Its excellent hydrophilicity absorbs and locks in moisture, providing a moist environment for the ocular surface.
Assisting Ophthalmic Surgery
During cataract surgery, sodium hyaluronate is used to fill the anterior chamber, maintain surgical space, facilitate manipulation, and protect tissues such as the corneal endothelium. Its viscoelastic properties buffer intraocular pressure fluctuations, enhancing surgical safety. In corneal transplantation, it protects the donor corneal endothelium, reduces mechanical damage, promotes donor-receiver adhesion, and improves surgical success rates.
Food and Health Products
Improving Food Taste
Sodium hyaluronate has excellent water retention properties, preventing food from drying out and spoiling, extending shelf life. It also improves texture, adding a sticky, smooth feel, and enhancing elasticity and smoothness. For example, it can enhance the thickness of yogurt and make jelly more chewy.
Humectant
In baked goods such as bread and cakes, sodium hyaluronate helps retain moisture, making the product softer and more moist, delaying aging, and extending shelf life. It is also suitable for fruit slices and meat products, reducing water loss and preserving the original flavor.
Increasing Stability
In beverages, such as juices and teas, sodium hyaluronate can be used as a thickening and stabilizing agent to prevent sedimentation or separation, improving the uniformity and taste consistency of beverages.
Drug Delivery
Subcutaneous and Intramuscular Injections
Sodium hyaluronate, when co-injected with protein drugs or vaccines, can form a local drug reservoir, enabling slow release and prolonged absorption. For example, in insulin preparations, it can mimic physiological secretion and maintain stable blood sugar control.
Intravenous Injection
Drugs coated with sodium hyaluronate are more stable in the bloodstream. Its hydrophilic and colloidal properties prevent rapid drug degradation and reduce adsorption to blood vessel walls. For use with certain chemotherapy drugs, it can mitigate vascular damage and enhance therapeutic efficacy through targeted binding.
Ocular Drug Delivery
As an ophthalmic carrier, sodium hyaluronate can prolong drug retention on the ocular surface. Its high viscosity forms a protective film, reducing tear washout and improving bioavailability. For use with glaucoma medications, it can enhance the intraocular pressure-lowering effect.
Nasal Drug Delivery
As a carrier, sodium hyaluronate enhances drug adhesion and penetration in the nasal cavity, preventing rapid clearance. For brain medications, it can help bypass the blood-brain barrier and directly enter the brain, improving efficacy.
Agriculture
Seed Coating
Sodium hyaluronate has excellent moisture retention and viscosity. When used as a seed coating, it can improve soil water retention, enhance germination and survival rates, especially in arid areas. It can also serve as a carrier for nutrients and growth regulators, slowly releasing active ingredients to promote seedling growth.
Plant Tissue Culture
Adding sodium hyaluronate to tissue culture media improves medium viscosity and water retention, facilitating tissue fixation and sustained nutrient release, providing a better environment for growth and differentiation, and improving success rates and seedling quality.
Soil Improvement
Sodium hyaluronate applied to soil improves water retention, reduces evaporation, promotes aggregate formation, improves soil structure and aeration, facilitates root development, and enhances soil fertility.
Plant Protection
It forms a protective film on plant surfaces, reducing water loss, enhancing drought resistance, and blocking pathogens and pests, reducing the incidence of pests and diseases, providing a physical barrier.
Agricultural Product Preservation
Due to its excellent moisturizing and preserving properties, sodium hyaluronate can be used in post-harvest agricultural product processing to effectively extend its shelf life.













